Một trong những yếu tố quan trọng ảnh hưởng đến tính năng và tuổi thọ của máy biến áp là tính năng nhiệt, yếu tố quyết định bởi thiết kế của hệ thống làm mát (Ảnh st)
Hoạt động đáng tin cậy và hiệu quả của máy biến áp phân phối là thiết yếu để đảm bảo chất lượng và tính liên tục của việc cung cấp điện cho các hộ tiêu thụ. Một trong những yếu tố quan trọng ảnh hưởng đến tính năng và tuổi thọ của máy biến áp là tính năng nhiệt, yếu tố quyết định bởi thiết kế của hệ thống làm mát. Cơ chế làm mát một máy biến áp là đi qua hệ thống cách điện (rắn và lỏng) mà qua đó khuếch tán nhiệt ra môi trường. Sự thay đổi về nhiệt do máy biến áp phát ra trong quá trình vận hành động gây ra sự thay đổi nhiệt độ và do đó là sự di chuyển của độ ẩm giữa các chất cách điện lỏng và rắn. Đặc tính nhiệt động phụ thuộc vào đường cong phụ tải của máy biến áp và các điều kiện môi trường, vốn không thể dễ dàng ước tính khi đánh giá các máy biến áp công suất tại hiện trường.
Tốc độ di chuyển độ ẩm giữa các hệ thống cách điện khác nhau phụ thuộc vào hệ số khuếch tán của chất lỏng và bìa ép và do đó là một hàm của nhiệt độ, hình dạng kích thước và đặc tính của cách điện. Khi độ ẩm vượt quá giới hạn cho phép trong vật liệu cách điện cellulose, nó ảnh hưởng đến tính năng của các hệ thống cách điện lỏng, bìa ép trong máy biến áp bằng cách tăng tốc độ lão hóa và làm giảm độ bền điện môi và cơ học của chúng. Việc xác định hàm lượng ẩm theo thời gian trong vật liệu cách điện lỏng và rắn hỗ trợ quyết định phục hồi chất lỏng và dừng thiết bị kịp thời trước khi sự xuống cấp của vật liệu cách điện giấy gây ra hỏng hóc.
Xác định chính xác độ ẩm trong máy biến áp trong quá trình vận hành là một thách thức liên tục do cơ chế phức tạp của quá trình di chuyển độ ẩm và sự phụ thuộc của nó vào nhiều tham số thiết kế và nhiệt. Mặc dù các quy trình sấy thường được áp dụng ở giai đoạn chế tạo, nhưng mức độ khô phải duy trì trong quá trình vận hành để làm chậm lại sự suy giảm độ bền cách điện và cắt giảm độ bền điện môi cũng như khả năng phóng điện cục bộ.
Một trong những mối quan ngại chính và yếu tố quyết định tuổi thọ của máy biến áp là tốc độ tăng độ ẩm trong quá trình vận hành máy biến áp. Có hai nguồn chính gây ra sự xâm nhập của hơi ẩm vào chất lỏng: cách điện rắn và khí quyển. Chất lỏng có thể hấp thụ hơi ẩm từ khí quyển thông qua các vòng đệm yếu, chênh lệch áp suất giữa môi trường và chất lỏng hoặc trong quá trình bảo trì hoặc sửa chữa. Các nguồn này có thể kiểm soát bằng các biện pháp đảm bảo chất lượng. Thách thức nằm ở quá trình lão hóa của cách điện rắn, vốn chắc chắn sẽ tạo thành nước khi xuống cấp. Ngoài ra, quá trình sấy khô các cuộn dây và phần tác dụng hoạt động có thể để lại một chút hơi ẩm trong các bộ phận bằng gỗ dày, chúng sẽ di chuyển vào chất lỏng trong quá trình vận hành và lan sang các bộ phận cách điện rắn khác.
Khi xử lý các chất lỏng khác nhau, việc kiểm tra hàm lượng nước tính bằng phần triệu (ppm) không cung cấp thông tin nhất quán vì mỗi loại chất lỏng có đường cong bão hòa độ ẩm (MS) riêng, như thể hiện trong hình 1. Cân nhắc điểm vận hành ở 100°C với hàm lượng nước là 20ppm có nghĩa là độ bão hòa tương đối khoảng 0,4% đối với este tổng hợp (SE), 0,64% đối với este tự nhiên (NE) và 2,5% đối với dầu khoáng (MO). Sự khác biệt này về độ bão hòa tương đối chứng tỏ rằng giới hạn hàm lượng nước đối với các este lỏng nói chung có thể cao hơn đối với dầu khoáng nếu muốn đảm bảo sự hoạt động an toàn của điện môi.
Về mặt phân bố nhiệt độ bên trong máy biến áp, dự kiến độ bão hòa tương đối sẽ khác nhau giữa các vị trí trong toàn bộ thể tích thùng dầu máy biến áp. Giả sử chênh lệch nhiệt độ 10K giữa chất lỏng phần trên đỉnh cuộn dây và chất lỏng phần trên đỉnh thùng dầu máy biến áp có cùng lượng nước sẽ dẫn đến cắt giảm độ bão hòa tương đối tại khu vực điểm phát nóng cục bộ khoảng 15-20% tại điểm vận hành là 100°C. Vì este tổng hợp có nhiều không gian hơn để hấp thụ độ ẩm, độ lệch này sẽ cân bằng bằng cách truyền hơi ẩm từ cách điện rắn sang chất lỏng với giả định rằng máy biến áp bịt kín hoàn toàn và xác suất trao đổi độ ẩm với môi trường xung quanh là thấp trong thời gian dài.
.jpg)
Hình 1. So sánh độ bão hòa hơi ẩm của các chất lỏng khác nhau theo nhiệt độ bao gồm cả dải lạnh cực đoan (Ảnh st)
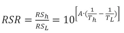
Từ độ bão hòa độ ẩm tương đối ở chất lỏng lớp trên cùng RSL, có thể tính toán độ bão hòa tương đối của chất lỏng tại vùng phát nóng cục bộ RSh bằng cách sử dụng nhiệt độ tham chiếu của cả hai. Có thể thực hiện phép tính tương tự đối với chất lỏng tiếp xúc với tấm chắn bìa ép.
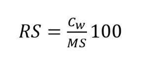
Sự truyền hơi ẩm giữa môi trường xung quanh và chất lỏng có thể bị bỏ qua vì quá trình truyền độ ẩm này cần thời gian dài hơn so với thời gian yêu cầu trong quá trình thử nghiệm máy biến áp tại hiện trường thử nghiệm. Điều đó có nghĩa là bất kỳ thay đổi nào về hàm lượng nước trong chất lỏng sẽ được cho là chỉ do sự truyền giữa chất cách điện lỏng và cách điện rắn. Nếu hàm lượng nước trong chất lỏng được đo ngoại tuyến theo ppm, có thể ước tính độ bão hòa tương đối (RS) trong chất cách điện lỏng và chất cách điện rắn bằng công thức (1) và các đường cong của hàm lượng bão hòa độ ẩm,
(1)
trong đó, RS là độ bão hòa tương đối [%], Cw là hàm lượng nước (tính bằng ppm) và MS là hàm lượng bão hòa hơi ẩm (tính bằng ppm).
Theo cùng thang nhiệt độ, các chất lỏng este tự nhiên và tổng hợp có độ bão hòa độ ẩm cao hơn so với dầu khoáng. Do đó, độ bão hòa tương đối giống nhau đối với cả este và dầu khoáng có nghĩa là hàm lượng nước khác nhau vì các tham chiếu độ bão hòa độ ẩm khác nhau ở cùng một nhiệt độ. Độ hòa tan trong nước của chất lỏng máy biến áp phụ thuộc vào nhiệt độ, hơn nữa, nó bị ảnh hưởng trực tiếp bởi các chất phụ gia dạng lỏng. Vì dầu khoáng thương mại máy biến áp thường có rất ít hàm lượng phụ gia so với các chất lỏng este, nên độ hòa tan trong nước của các loại dầu khoáng khác nhau dự kiến là rất giống nhau.
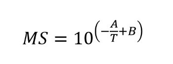
Đường cong bão hòa độ ẩm của chất lỏng có thể biểu thị như sau:
(2)
trong đó T là nhiệt độ tuyệt đối tính bằng độ K, A và B là các hằng số đặc trưng của chất lỏng.
Đối với một phép đo nhiệt độ chạy thử với nhiệt độ thay đổi trên máy biến áp nghiên cứu trường hợp, các đường cong bão hòa độ ẩm của SE trong vùng phát nóng cục bộ và vùng chất lỏng trên cùng thể hiện trong hình 2. Có thể thấy rằng mức tải động của máy biến áp khiến độ bão hòa chất lỏng thay đổi động tùy thuộc vào vị trí và do đó độ bão hòa tương đối liên tục thay đổi.
.jpg)
Mức tải ảnh hưởng đến chênh lệch bão hòa độ ẩm giữa vùng phát nóng cục bộ và vùng chất lỏng phía trên trong thùng dầu. Sự thay đổi về chênh lệch bão hòa trong quá trình phụ tải động cho thấy có sự chuyển dịch động của hàm lượng nước động trong thể tích chất lỏng, vì các cơ chế chuyển dịch hơi ẩm khác phản ứng chậm hơn so với sự khuếch tán hàm lượng nước giữa chất rắn và chất lỏng so với mức độ phụ tải động.
Cơ chế khuếch tán độ ẩm có thể tìm thấy bằng cách phân tích độ bão hòa độ ẩm động (MS)
(3)
trong đó, MS(t) là sự thay đổi độ bão hòa độ ẩm theo thời gian, gSh là građien độ ẩm tại vùng phát nóng cục bộ cao hơn độ bão hòa độ ẩm trung bình của chất lỏng máy biến áp, τSh là hằng số thời gian bão hòa độ ẩm tại điểm phát nóng cục bộ, MSm là độ bão hòa độ ẩm trung bình của chất lỏng máy biến áp và là hằng số thời gian tại độ bão hòa độ ẩm trung bình. Phân tích Công thức (3) trình bày trong Bảng I, cho thấy sự khuếch tán hơi ẩm từ bên trong ra bên ngoài chất lỏng cuộn dây dưới ảnh hưởng của sự khuếch tán tương đối nhanh của chất lỏng điểm phát nóng cục bộ τSh đến chất lỏng trong thùng dầu máy biến áp MSm so với sự ổn định khuếch tán của độ ẩm bên trong thể tích chất lỏng máy biến áp τSh.
Quan sát hàm lượng hơi ẩm bão hòa ở các nhiệt độ khác nhau của chất lỏng tại các vị trí khác nhau bên trong thùng dầu máy biến áp sẽ giúp hiểu được làm thế nào sự khuếch tán hơi ẩm bên trong thể tích chất lỏng diễn ra trong chế độ tải biến động của máy biến áp. Nếu hàm lượng nước của chất lỏng được coi là như nhau ở mọi nơi do lưu thông chất lỏng, hàm lượng hơi ẩm tương đối tại khu vực điểm phát nóng cục bộ (RSh) có thể tính toán bằng cách sử dụng đường cong độ bão hòa của chất lỏng và độ bão hòa tương đối đã biết đo được tại cảm biến chất lỏng trên cùng của thùng dầu máy biến áp (RSL) như sau:
(4)
Từ đó tỷ lệ bão hòa tương đối (RSR) có thể trình bày như sau:
(5)
.jpg)
Với hàm lượng nước lỏng tham chiếu đo được từ mẫu chất lỏng lấy tại chỗ trước khi đóng điện máy biến áp, có thể quan sát được độ bão hòa chất lỏng tương đối ở bất kỳ nhiệt độ vận hành nào. Bằng cách sử dụng mô hình nhiệt động, có thể triển khai RSR và theo dõi liên tục độ bão hòa tương đối trong cách điện giấy. Đối với các khoảng thời gian ngừng hoạt động dài, khuyến cáo cập nhật giá trị hàm lượng nước tham chiếu trong chất lỏng để có đầu vào chính xác hơn cho phép tính độ bão hòa tương đối trong giấy và chất lỏng.
Sau khi tính toán độ bão hòa tương đối trong khu vực phát nóng cục bộ, hàm lượng nước trong giấy có thể tính toán bằng cách sử dụng các đường cong đẳng nhiệt độ ẩm cân bằng. Các đường cong này đã được mô tả trong bề mặt 3D như thể hiện trong hình 4.
.jpg)
Việc đánh giá hàm lượng nước tại điều kiện biến động trong giấy tại vùng phát nóng cục bộ trong mô hình thực hiện theo quy trình sau:
Kết quả của WCP và RS thể hiện ở hình 5. Cần lưu ý rằng các tính toán này dựa trên giả định rằng hàm lượng nước trong máy biến áp vẫn giữ nguyên do có sự lưu thông chất lỏng.
.jpg)
Hình 5. Sự thay đổi hàm lượng nước trong giấy (WCP) và độ bão hòa độ ẩm tương đối trong chất lỏng tại vùng điểm phát nóng cục bộ theo nhiệt độ (Ảnh st)
Biên dịch: Chu Thanh Hải
Theo PTS, số tháng 2/2025